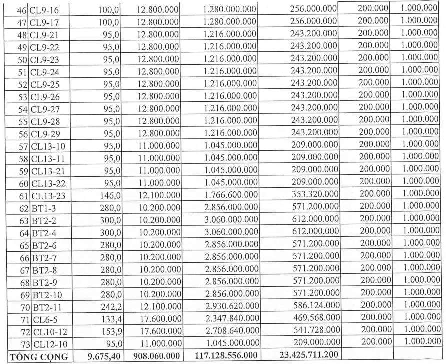
La societe d'encheres Hop danh Dong Nam vient de publier un avis sur la vente aux encheres des droits d'utilisation des terres pour les habitants afin de construire des logements dans la zone residentielle concentree de la commune de Giao Tien (aujourd'hui commune de Giao Thuy province de Ninh Binh). Les biens mis aux encheres comprennent 73 parcelles de terrain d'une superficie totale de 9 675 4 m2.
La superficie des parcelles de terrain varie de 95 a 300 m2. Le prix de depart pour les parcelles de terrain est de 10 2 a 17 6 millions de VND/m2 soit l'equivalent de 1 a 3 milliards de VND/lot de terrain. Le prix de depart est fixe a 1 000 000 VND/lot de terrain.


La forme de vente aux encheres consiste a voter directement un tour lors de la vente aux encheres pour chaque lot de terrain. La methode de vente aux encheres appliquee est de payer le prix eleve.
Heure et lieu de vente des dossiers d'invitation a participer a la vente aux encheres reception des dossiers de participation a la vente aux encheres de 8h00 le 3 septembre 2025 a 17h00 le 17 septembre 2025 (heures de bureau les jours ouvrables) a la societe de vente aux encheres Hop danh Dong Nam.
Heure et lieu de l'organisation de la vente aux encheres : Presentation des clients a 8h00 la vente aux encheres debutera a 8h30 le 21 septembre 2025 (matin) prevue a la salle du Conseil populaire du Comite populaire de la commune de Giao Thuy au 86 rue Tran Nhan Tong commune de Giao Thuy province de Ninh Binh.
Les personnes participant a la vente aux encheres sont des particuliers qui ont reçu des terres de l'Etat qui perçoivent des droits d'utilisation des terres conformement a la loi et qui ne relevent pas des cas prevus aux points d1 et d2 du paragraphe 5 de l'article 9 et du paragraphe 4 de l'article 38 de la loi sur la vente aux encheres de biens de 2016 modifiee et completee en 2024.
Dans un lot de terrain mis aux encheres dans le meme menage (y compris les personnes ayant des relations conjugales ou le meme nom de famille) une seule personne peut participer a la vente aux encheres.